មន្ត្រីក្រសួងរ៉ែនិងថាមពល មានប្រាក់ទិញដីនៅសហរដ្ឋអាមេរិក តម្លៃរាប់លានដុល្លារ

តើមន្រ្តីពីររូបនោះជាអ្នកណា ហើយតើពួកគេ បានលុយពីប្រភពណាទៅទិញដីចម្ការទំហំជិត១០០ហិកតា នៅសហរដ្ឋអាមេរិក?

ដោយ៖ Jack Davies និង ជុន ច័ន្ទបុត្រ

អ្នកធំពីររូបនៃរបបក្រុងភ្នំពេញ ដែលត្រូវជាឪពុក និងកូននឹងគ្នា បានគ្រប់គ្រងថាមពលអគ្គិសនីនៅកម្ពុជា អស់រយៈពេលជាង២០ឆ្នាំកន្លងទៅនេះ។ ហើយក្នុងអំឡុងពេលនេះ ពួកគេទិញដី ទិញផ្ទះនៅរដ្ឋហ្វ្លរីដា (Florida) និងរដ្ឋចរចា (Georgia) នៃសហរដ្ឋអាមេរិក ក្នុងតម្លៃវាល់លានដុល្លារ។

អ្នកធំដែលជាឳពុកនោះ ឈ្មោះ អ៊ិត ប្រាំង។ លោក អ៊ិត ប្រាំង ក្តោបក្តាប់ក្រសួងរ៉ែ និងថាមពល រយៈពេលយូរជាងការកាន់តំណែងជានាយករដ្ឋមន្ត្រី របស់លោក ហ៊ុន សែន ទៅទៀត។ លោក បានទទួលតំណែងជាអនុរដ្ឋមន្ត្រីក្រសួងរ៉ែ និងថាមពលនេះ នៅឆ្នាំ១៩៨៤។ ១០ឆ្នាំក្រោយមក លោកឡើងកាន់តំណែងជារដ្ឋលេខាធិការនៃក្រសួងនេះ មកទល់នឹងពេលបច្ចុប្បន្ន។

អ្នកធំដែលក្ដោបក្ដាប់ផ្នែកអគ្គិសនីម្នាក់ទៀតនោះ គឺជាកូនប្រុសច្បងរបស់លោក អ៊ិត ប្រាំង តែម្តង ឈ្មោះ ប្រាំង ជលសា។ លោក ប្រាំង ជលសា មានតួនាទីជាអគ្គនាយករង អគ្គិសនីកម្ពុជា ដែលគេនិយមហៅកាត់ថា EDC ទទួលបន្ទុកត្រួតពិនិត្យកិច្ចសន្យា កុងត្រានានា ដែលមានតម្លៃរាប់លានដុល្លារ។


លោក អ៊ិត ប្រាំង ចូលរួមបើកកិច្ចប្រជុំរដ្ឋមន្ត្រីក្រសួងថាមពលអាស៊ាន នៅកោះបាលី ប្រទេសឥណ្ឌូនេស៊ី ថ្ងៃទី២៥ ខែកញ្ញា ឆ្នាំ២០១៣។ (រូបថត៖ AP)

លោក ប្រាំង ជលសា ក្នុងកិច្ចប្រជុំជាមួយអាជ្ញាធរអគ្គិសនីថៃ (Electricity Generating Authority of Thailand) កាលពីថ្ងៃទី២១ ខែធ្នូ ឆ្នាំ២០១៩។ (រូបថត៖ Facebook)


ក្នុងតំណែងនេះ លោក ប្រាំង ជលសា ជាអ្នកដែលសម្រេចការងារទាំងស្រុង នៅអគ្គនាយកដ្ឋានអគ្គិសនីកម្ពុជានេះ ទោះបីជាពាក់កណ្ដាលនៃស្ថាប័ននេះ គ្រប់គ្រងដោយក្រសួងរ៉ែនិងថាមពល ដឹកនាំដោយឪពុករបស់លោកក៏ដោយ។ លើសពីនេះទៅទៀតនោះ EDC មានសិទ្ធិស្ទើរផ្តាច់មុខទាំងស្រុង ទៅលើការផ្គត់ផ្គង់អគ្គិសនីនៅទីក្រុងភ្នំពេញទាំងមូលចាប់តាំងពីឆ្នាំ១៩៩៩ ដែលតាំងពីនោះមក តម្លៃភ្លើងអគ្គិសនីសម្រាប់អ្នកក្រុងភ្នំពេញឡើងខ្ពស់កប់ពពក។

ក្រោយពេលដែលឪពុកនិងកូន ក្ដោបក្ដាប់តំណែងនៅអគ្គិសនីកម្ពុជា២០ឆ្នាំមក ក្រុមគ្រួសារត្រកូលប្រាំង មមាញឹកខ្លាំងមែនទែនក្នុងការកសាងអាណាចក្រដ៏ស្តុកស្តម្ភរបស់ខ្លួនមួយ នៅភាគខាងត្បូងនៃសហរដ្ឋអាមេរិក។

តើពួកគេបានលុយពីណា ទៅពង្រីកអាណាចក្រអចលនទ្រព្យរបស់ខ្លួននៅក្រៅប្រទេសនេះ? រឿងនេះស្ថិតនៅក្នុងភាពអាថ៌កំបាំងនៅឡើយ។ តែយើងមានឯកសារមួយចំនួន បង្ហាញពីទ្រព្យសម្បត្តិរបស់ពួកគេ។

តាមការស៊ើបអង្កេតដ៏ហ្មត់ចត់ លើឯកសារសាធារណៈអំពីកំណត់ហេតុនៃអចលនទ្រព្យនិងថវិកា អាស៊ីសេរីបានរកឃើញនូវទ្រព្យសម្បត្តិ ដែលរួមមានភូមិគ្រឹះដ៏ធំល្វឹងល្វើយ ដីចម្ការដែលមានទំហំជិត១០០ហិកតា មានតម្លៃ៥លានដុល្លារកន្លះ។ ក្រៅពីនោះ ពួកគេទទួលបាននូវជំនួយចំនួនកន្លះលានដុល្លារ បន្ថែមទៀតពីក្រសួងកសិកម្មសហរដ្ឋអាមេរិក ចំពោះការងារកសិកម្មរបស់ពួកគេ។

ក្រុមគ្រួសារលោក អ៊ិត ប្រាំង និងការចាក់ឫសគល់នៅអាមេរិក

ក្នុងរយៈពេលកាន់អំណាច៣៥ឆ្នាំ លោក ហ៊ុន សែន បានប្រមូលយកមនុស្សដែលលោកទុកចិត្ត ឲ្យមកនៅជុំវិញខ្លួនលោក។ អ្នកទាំងនោះសុទ្ធសឹងតែជាមន្ត្រីគ្រាក់ៗតោងស្អិតនឹងមុខតំណែងដ៏មានឥទ្ធិពលនានាក្នុងរបបរបស់លោក។ លោក អ៊ិត ប្រាំង ជាមនុស្សម្នាក់ក្នុងចំណោមអ្នកទាំងនោះ។ នៅខែមេសាឆ្នាំ២០០៨ លោក អ៊ិត ប្រាំង និងភរិយារបស់លោក ត្រូវបានព្រះមហាក្សត្រសព្វព្រះទ័យប្រោសប្រទាន នូវគ្រឿងឥស្សរិយយស មុនីសារភ័ណ្ឌ ថ្នាក់មហាសេរីវឌ្ឍន៍ ចំពោះលោក អ៊ិត ប្រាំង និងថ្នាក់មហាសេនា ចំពោះលោកស្រី ញ៉ែម សេដ្ឋា ជាភរិយារបស់លោក។ គ្រឿងឥស្សរិយយស មុនីសារភ័ណ្ឌ ទាំងពីរថ្នាក់នេះ ត្រូវគេប្រគល់ឲ្យចំពោះ "វរជនដែលមានគុណូបការៈដ៏ឧត្ដុង្គឧត្ដម" ជូនប្រទេសជាតិ។



កាលពីក្មេង លោក អ៊ិត ប្រាំង បង្រៀនបច្ចេកទេសអគ្គិសនីនៅភ្នំពេញ រហូតដល់ខ្មែរក្រហមឡើងកាន់អំណាច។ លោកត្រូវពួកខ្មែរក្រហមជម្លៀសឲ្យទៅធ្វើស្រែនៅខេត្តកំពង់ចាម។ ក្រោយវៀតណាមចូលលុកលុយកម្ពុជា លោក អ៊ិត ប្រាំង បានវិលចូលក្រុងភ្នំពេញវិញ។ ដំបូងឡើយ លោកធ្វើជាប្រធានផ្នែកអគ្គិសនី ឲ្យរោងចក្រផលិតភេសជ្ជៈមួយកន្លែង។ ក្រោយមកលោកក៏បានឡើងជានាយកនៃរោងចក្រនោះ។

៥ឆ្នាំក្រោយមក លោកបានទទួលតំណែងជាអនុរដ្ឋមន្ត្រីក្រសួងរ៉ែ និងថាមពល។ បន្ទាប់ពីឡើងកាន់តំណែងជារដ្ឋលេខាធិការនៃក្រសួងនេះ នៅឆ្នាំ១៩៩៤ លោកក៏បានចុះឈ្មោះចូលរៀននៅសាកលវិទ្យាល័យឯកជនមួយ នៃរដ្ឋកាលីហ្វនីញ៉ា (California) ដែលបានផ្ដល់សញ្ញាប័ត្រថ្នាក់បណ្ឌិត ផ្នែកគ្រប់គ្រងធុរកិច្ចដល់លោក នៅឆ្នាំ១៩៩៧។

នៅឆ្នាំដដែលនោះ លោក ប្រាំង ជលសា កូនប្រុសរបស់លោក ដែលជាវិស្វករអគ្គីសនី ក៏បានបញ្ចប់ការសិក្សាថ្នាក់អនុបណ្ឌិតពីក្រុងហ្គ្រេនណូប្ល៍ (Grenoble) នៃប្រទេសបារាំង។ លោក ប្រាំង ជលសា សិក្សាថ្នាក់បណ្ឌិតផ្នែកថាមពលអគ្គិសនីបន្តទៀត នៅប្រទេសបារាំង ដោយទទួលបានអាហារូបករណ៍ពីរដ្ឋាភិបាលបារាំង។

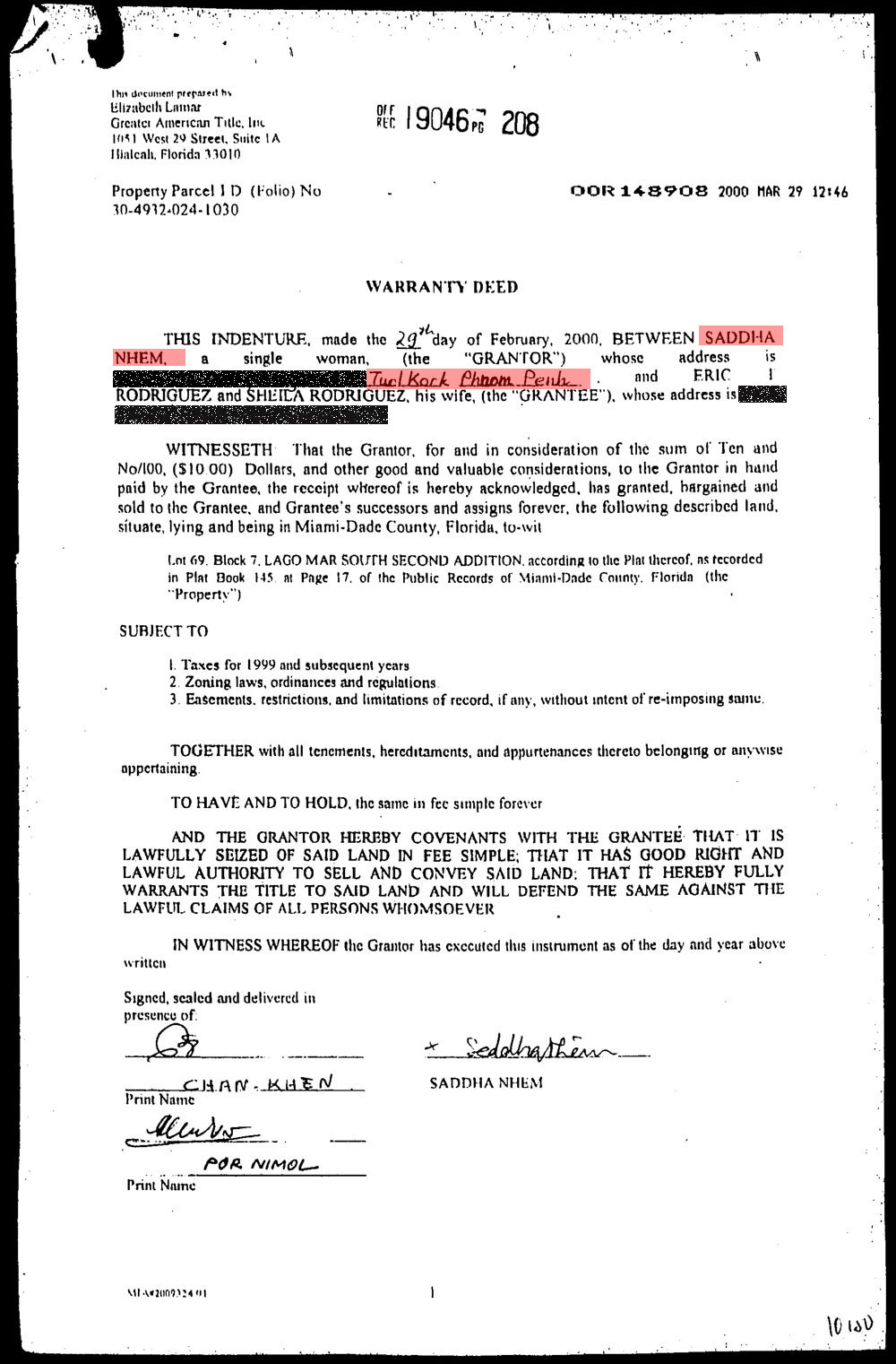
ក្នុងខណៈនោះដែរ ប្អូនៗរបស់លោក ជលសា បីនាក់ បានចេញដំណើរទៅសហរដ្ឋអាមេរិក ជាមួយនឹងម្ដាយរបស់ពួកគេ គឺលោកស្រី ញ៉ែម សេដ្ឋា។ ក្នុងអំឡុងពេលដែលលោក ប្រាំង ជលសា ឡើងការពារនិក្ខេបបទបណ្ឌិត នៅខែកញ្ញាឆ្នាំ២០០០ ប្អូនទាំងបីនាក់របស់លោក មានឈ្មោះ រស្មី ដែលកាលនោះមានអាយុ១៨ឆ្នាំ រាសី អាយុ១៩ឆ្នាំ និង ឈូកស អាយុ២១ឆ្នាំ និងស្វាម៉ីរបស់នាង ឈូកស លោក ពិត ភារៈសិលា អាយុ២២ឆ្នាំ បានទិញដីទំហំ ២៥ ហិកតា នៅក្រុងមួយ ឈ្មោះ ហូមស្តិត (Homestead) ចម្ងាយប្រមាណ៥០គម ពីក្រុងម៉ៃអាមី (Miami) នៃរដ្ឋហ្វ្លរីដា។


ផែនទីទីតាំងអចលនទ្រព្យរបស់ក្រុមគ្រួសារត្រកូលប្រាំង នៅក្រុងហូមស្តិត (Homestead) រដ្ឋហ្វ្លរីដា (Florida)។ ប្រភព៖ ការិយាល័យវាយតម្លៃអចលនទ្រព្យ ប្រចាំតំបន់ Miami-Dade County រដ្ឋហ្វ្លរីដា

ផែនទីរដ្ឋហ្វ្លរីដា


ពួកគេទិញដីនោះ ក្នុងតម្លៃជិត១លានដុល្លារ។ កំណត់ហេតុនៃការទិញដីនោះ បញ្ជាក់ថា យុវវ័យទាំងបីរូប ជាមួយនឹងម្ដាយរបស់គេ គឺលោកស្រី ញ៉ែម សេដ្ឋា បានខ្ចីលុយធនាគារ រហូតដល់ពេលទិញដីនោះ សរុបចំនួន១សែន៥ពាន់២រយដុល្លារ។ នេះបានសេចក្ដីថា ពួកគេចេញលុយហោប៉ៅ ចំនួនជាងកន្លះលានដុល្លារទៀតដើម្បីបង្គ្រប់ទិញដីនោះ។

គេមិនដឹងប្រាកដថាក្នុងទសវត្សឆ្នាំ៩០នោះ លោក អ៊ិត ប្រាំង ទទួលបានប្រាក់ខែប៉ុន្មានទេ។ តែក្នុងឆ្នាំ២០១៧ កម្រិតប្រាក់ខែសម្រាប់តំណែងរដ្ឋលេខាធិការនៅកម្ពុជា ត្រូវគេដំឡើងដល់៨៥០ដុល្លារក្នុងមួយខែ។ នេះមានន័យថាប្រាក់ខែរបស់លោក អ៊ិត ប្រាំង ក្នុងទសវត្សឆ្នាំ១៩៩០ អាចតិចជាងនេះ។ ក៏ប៉ុន្តែបើទោះជាក្នុងពេលនោះលោកបានប្រាក់ខែ ស្មើនឹងប្រាក់ខែឆ្នាំ២០១៧ ក៏ដោយ ក៏លោកត្រូវការពេលយ៉ាងតិច៧៦ឆ្នាំ ទម្រាំអាចសន្សំបាន៨០ម៉ឺនដុល្លារ ដើម្បីចំណាយលើដីដែលកូនៗលោកទិញមុនឆ្នាំ២០០០នោះ។


វត្តខ្មែរកំពុងសាងសង់នៅក្រុងហូមស្តិត (Homestead) (រូបថត៖ អាស៊ីសេរី)

បរិវេណវត្តខ្មែរនៅក្រុងហូមស្តិត (Homestead) (រូបថត៖ អាស៊ីសេរី)


កូនៗរបស់លោក អ៊ិត ប្រាំង គឺ រស្មី រាសី និង ឈូកស បានមានគូស្រករ ហើយសំងំរស់នៅ នៅរដ្ឋហ្វ្លរីដា សហរដ្ឋអាមេរិក។ សហគមន៍ខ្មែរនៅទីនោះ អ្នកណាៗក៏ស្គាល់ កូនៗ និងភរិយាលោក អ៊ិត ប្រាំង ដែរ។ ក្រៅតែពីជាម្ចាស់ដីចម្ការដ៏ច្រើនសម្បើម និងជាម្ចាស់ក្រុមហ៊ុនទទួលទិញផលិតផលកសិកម្មដ៏ធំ ភរិយានិងកូនៗរបស់លោក អ៊ិត ប្រាំង កំពុងខិតខំបញ្ជ្រាបឥទ្ធិពលរបស់ខ្លួន ទៅក្នុងផ្នែកផ្សេងៗនៃសហគមន៍ខ្មែរនៅឯនាយសមុទ្រ ដូចជាវត្តអារាម ជាដើម។ ពួកគេចូលបច្ច័យកសាងវត្តម្តង ដប់ម៉ឺនដុល្លារ។ ហើយបើទោះបីជា មិនមាននរណាជីកសួរពួកគេ ថាបានប្រាក់នេះមកពីប្រភពណាក៏ដោយ ក៏ពួកគេប្រកាសដោយខ្លួនឯងថាជាប្រាក់ដែលបានមកដោយសុចរិត៖ "នាងខ្ញុំនិងស្វាមី មានសទ្ធាចូលបុណ្យផ្កានេះចំនួនដប់ម៉ឺនដុល្លារអាមេរិក ចា៎ដប់ម៉ឺនដុល្លារ...។ ប្រាក់នេះជាប្រាក់ដ៏ស្អាតស្អំ ជាចំណែកភាគហ៊ុនវាយកូនហ្គោល Country Club ដែលជាក្រុមហ៊ុន វាយកូនហ្គោល ទីមួយនៃប្រទេសកម្ពុជាយើង...។"

ទីលានវាយកូនហ្គោល The Country Club នេះ ត្រូវគេបើកឲ្យដំណើរការនៅឆ្នាំ១៩៩៧។ គ្រួសារត្រកូលប្រាំង មានចំណែកភាគហ៊ុននៅក្នុងនោះ។ តើគ្រួសារនាងបានលុយពីណាទៅទិញទីលានវាយកូនហ្គោលនោះ នាង ឈូកស មិនបានបញ្ជាក់ចំណុចនេះទេ។

ជាមួយនឹងអំណាចទឹកប្រាក់ ចូលរួមវិភាគទានកសាងវត្តនេះ ពួកគេចាប់ផ្ដើមបង្ហាញសាច់ដុំ ដំឡើងសំឡេងក្នុងការចាត់ចែងវត្ត និងព្រះសង្ឃក្នុងវត្ត ទៅតាមការចង់បានរបស់ខ្លួន។



អ្នកប្រឆាំងនឹងអំពើពុករលួយ ដែលបានដឹងអំពីការទិញដីនោះ កត់សម្គាល់នូវភាពមិនប្រក្រតីពីរយ៉ាង។ ទីមួយ វាជារឿងមិនធម្មតាទាល់តែសោះ ចំពោះពលរដ្ឋខ្មែរ ដែលទើបមកតាំងលំនៅ នៅសហរដ្ឋអាមេរិកនៅចុងទសវត្សឆ្នាំ១៩៩០ មានលុយទិញដីដ៏មានទំហំធំបែបនេះ។ ទីពីរ វាកាន់តែមិនធម្មតាទៅទៀតដែលក្មេងៗអាយុជាង១០ឆ្នាំ កាលនោះ រស្មី អាយុ ១៦ និង រាសី មានអាយុទើបតែ១៧ឆ្នាំ អាចមានលុយទិញដីតម្លៃជិតមួយលានដុល្លារ។

មុខតំណែងសម្រាប់តែសាច់ញាតិ និងបក្ខពួកខ្លួនឯង

ងាកទៅបងប្រុសបង្កើត គឺលោក ប្រាំង ជលសា វិញ។ លោកវិលមកកម្ពុជាពីប្រទេសបារាំង ដោយកាន់សញ្ញាប័ត្របណ្ឌិតផ្នែកវិស្វកម្មអគ្គិសនីដ៏ថ្មីច្រើងមកជាមួយផង។ នៅដើមឆ្នាំ២០០០ លោកទទួលតំណែងជានាយកផែនការនៃអគ្គិសនីកម្ពុជា EDC។ អាស៊ីសេរីបានទាក់ទងលោក អ៊ិត ប្រាំង និង លោក ប្រាំង ជលសា ថាតើតំណែងជានាយកផែនការរបស់លោក ប្រាំង ជលសា នេះ បានមកដោយភាពអយុត្តិធម៌ ដោយសារលោកជាកូនមន្រ្តីរបស់ក្រសួងរ៉ែ និងថាមពលឬយ៉ាងណា តែយើងមិនបានទទួលចម្លើយទេ។

នាយិកាប្រតិបត្តិនៃមជ្ឈមណ្ឌលសិទ្ធិមនុស្សកម្ពុជា លោកស្រី ចក់ សុភាព កត់សម្គាល់ថា អំពើពុករលួយគ្រួសារនិយម កើតមានពាសពេញក្នុងជួររដ្ឋាភិបាលក្រុងភ្នំពេញ។

លោកស្រី ចក់ សុភាព ប្រាប់អាស៊ីសេរីថា នៅកម្ពុជាគ្មានច្បាប់ប្រឆាំងនឹងការជ្រើសរើសសមាជិកគ្រួសារខ្លួនឲ្យចូលធ្វើការ ឬក៏មានច្បាប់កំណត់ថាអាចជ្រើសរើសគ្រួសារខ្លួនឲ្យចូលធ្វើការបានប៉ុន្មាននាក់ទេ។ លោកស្រីបន្តថា គឺភាពចន្លោះប្រហោងនេះហើយ ដែលជំរុញឲ្យមានការដំឡើងតំណែងបុណ្យស័ក្ដិ និងការទទួលយកសាច់ញាតិបក្ខពួកឲ្យធ្វើការ នៅក្នុងស្ថាប័នរដ្ឋដែលខ្លួនគ្រប់គ្រងបានតាមអំពើចិត្ត។

លោកស្រីបន្ថែមថា ដោយគ្មានការត្រួតពិនិត្យបែបនេះហើយបានជាអំពើពុករលួយអាចរីកដុះដាលបានដោយសេរី។

អ្នកការទូតក្លែងក្លាយ

ប៉ុន្មានខែមុនលោក ប្រាំង ជលសា ទទួលតំណែងថ្មី ម្ដាយរបស់លោក គឺលោកស្រី ញ៉ែម សេដ្ឋា ចេញពីក្រុងម៉ៃអាមី (Miami) ត្រឡប់មកកម្ពុជាវិញ ហើយមកតាំងលំនៅនៅម្តុំដីត្រូវប៉ាន់នៅទួលគោក។ នោះគឺជាភូមិគ្រឹះដែលមានច្រើនជាន់ ហើយហ៊ុមព័ទ្ធដោយលួសបន្លា។

ថ្វីត្បិតតែលោកស្រី ញ៉ែម សេដ្ឋា មិនមែនជាអ្នកការទូតក្តី លោកស្រីធ្វើដំណើរដោយកាន់លិខិតឆ្លងដែនការទូតរបស់កម្ពុជា។

អាស៊ីសេរីមិនអាចទាក់ទងលោកស្រី ញ៉ែម សេដ្ឋា បានទេ ហើយក្រសួងការបរទេសកម្ពុជាក៏មិនឆ្លើយតបនឹងសំណួរអាស៊ីសេរី ថាតើហេតុអ្វីបានជាលោកស្រី ញ៉ែម សេដ្ឋា អាចកាន់លិខិតឆ្លងដែនការទូត ដែលជាឯកសារធ្វើដំណើរផ្លូវការសម្រាប់តែមន្ត្រីការទូតនោះឡើយ។



ទោះជាយ៉ាងណាក៏ដោយ លិខិតឆ្លងដែនការទូត ត្រូវគេរាយការណ៍ថាត្រូវបានផ្ដល់ឲ្យអ្នកទាំងឡាយណាដែលជាប់សាច់ញាតិបក្ខពួកអ្នកធំ និងដើម្បីផលចំណេញផ្នែកនយោបាយ។ នៅខែសីហាឆ្នាំ២០០០ លោក ហោ ណាំហុង ដែលជាអតីតរដ្ឋមន្ត្រីក្រសួងការបរទេស ធ្លាប់ឆ្លើយប្រាប់គណៈកម្មការរដ្ឋសភាថា ទោះបីជាកម្ពុជាមានអ្នកមានឋានៈជាអ្នកការទូតតែជាង៤០០នាក់ក្តី ក្រសួងលោកបានចេញលិខិតឆ្លងដែនការទូត លើសពី៤ពាន់ច្បាប់។

ព័ត៌មាននេះបានលេចចេញ បន្ទាប់ពីមានការឆ្មក់ចូលឆែកឆេរផ្ទះជនជាតិតៃវ៉ាន់មួយ នៅតំបន់ទួលគោកក្បែរផ្ទះលោក អ៊ិត ប្រាំង។ កាលនោះ ព្រឹត្តិបត្រ The Cambodia Daily រាយការណ៍ថា គេបានរកឃើញលិខិតឆ្លងដែនការទូតខ្មែរមួយចំនួន ព្រមទាំងមានឃើញឃ្លាំងលាក់អាវុធមួយចំនួនធំផង។

ព្រឹត្តិបត្រ The Cambodia Daily ក៏បានដកស្រង់ពាក្យមន្ត្រីរដ្ឋាភិបាល និងមន្ត្រីការទូត ដែលនិយាយថា លិខិតឆ្លងដែនការទូត គឺជាឯកសារធ្វើដំណើរដែលគេចង់បានជាទីបំផុត ដ្បិតវាជួយឲ្យអ្នកកាន់លិខិតឆ្លងដែនការទូតនេះ អាចធ្វើដំណើរបានក្នុងតំបន់ដោយពុំចាំបាច់ឆ្លងកាត់ការត្រួតពិនិត្យហ្មត់ចត់ទេ។

ប្លង់ដី និងការផ្ទេរឈ្មោះ

នៅឆ្នាំ២០០៣ គ្រួសារត្រកូលប្រាំង ចាប់ផ្ដើមសង់ផ្ទះនៅហ្វ្លរីដា នៅលើដីទំហំជាង២០ហិកតា។ នោះគឺជាភូមិគ្រឹះពីរជាន់ ដែលមានបន្ទប់គេង៥ និងបន្ទប់ទឹកបី ដែលត្រូវគេសង់ចម្ងាយជាង៥០ម៉ែត្រ ពីផ្លូវ និងហ៊ុមព័ទ្ធដោយដើមត្នោត ដើមដូង និងដើមស្លាធ្វើជារបង។


ភូមិគ្រឹះគ្រួសារត្រកូលប្រាំង នៅក្រុងហូមស្តិត (Homestead) (រូបថត៖ អាស៊ីសេរី)
ភូមិគ្រឹះគ្រួសារត្រកូលប្រាំង នៅក្រុងហូមស្តិត (Homestead) (រូបថត៖ អាស៊ីសេរី)

នៅឆ្នាំបន្ទាប់ នៅលើកម្មសិទ្ធិកាន់កាប់ដីពីរកន្លែងនៅហ្វ្លរីដា គេដាក់ឈ្មោះលោក ប្រាំង ជលសា បន្ថែមទៅលើនោះទៀត។ ដីទាំងពីរកន្លែងនេះ មានតម្លៃ១លានកន្លះ ដែលមានចម្ការផ្លែឈើទំហំ២០ហិកតា និងមានឃ្លាំងទំហំជិត៥០០ ម៉ែត្រការ៉េផង។

ដំណើរទៅកាន់រដ្ឋ ចរចា (Georgia)

គ្រួសារលោក អ៊ិត ប្រាំង មិនត្រឹមតែពង្រីកអាណាចក្ររបស់ខ្លួននៅក្នុងរដ្ឋហ្វ្លរីដាទេ នៅឆ្នាំ២០១៧ ពួកគេបានពង្រីកអាណាចក្ររបស់ខ្លួនឲ្យធំជាងពីរដង ទៅដល់រដ្ឋមួយទៀត គឺរដ្ឋចរចា ។

គ្រួសារលោក អ៊ិត ប្រាំង បានទិញដីប្រមាណជាង២០ហិកតា ក្នុងតម្លៃជាង៣សែនដុល្លារ នៅក្បែរតំបន់ អាដែល (Adel) នៃរដ្ឋចរចា ទៀត។ ពួកគេបន្តទិញដីពង្រីកបន្ថែមទៀត រហូតកើនដល់ជាង៣០ហិកតា។

ឈានទៅបង្កើតក្រុមហ៊ុន

ចូលដល់ឆ្នាំ២០១៤ គ្រួសារលោក អ៊ិត ប្រាំង ប្រើប្រាស់មធ្យោបាយបង្កើតក្រុមហ៊ុន ដើម្បីទិញដីបន្ថែមទៀត នៅតំបន់ ហូមស្តិត នៅរដ្ឋហ្វ្លរីដា។ ក្នុងចន្លោះឆ្នាំ២០១៤ ទៅ ២០១៨ ក្រុមហ៊ុនដែលក្ដោបក្ដាប់ដោយគ្រួសារលោក អ៊ិត ប្រាំង រួមមានក្រុមហ៊ុន សេដ្ឋាចន្ទ្រគ្រូប (Seddhanchan Group) ក្រុមហ៊ុនវិនិយោគសេដ្ឋាចន្ទ្រ (Seddhachan Investments) និងក្រុមហ៊ុន Louisville Miami Corp ចំណាយជាមធ្យមជាងកន្លះលានដុល្លារទៅលើការពង្រីកដីបន្ថែម។

នៅកម្ពុជាឯណេះ លោក ប្រាំង ជលសា កូនប្រុស លោក អ៊ិត ប្រាំង និងលោកស្រី សេដ្ឋា ក្នុងខណៈដែលម្តាយ និងប្អូនៗរបស់លោក កំពុងពង្រីកអាជីវកម្ម និងទិញដីបន្ថែម លោកក៏ត្រូវគេដំឡើងតំណែងឲ្យទៅជាអគ្គនាយករងផែនការ និងបច្ចេកទេសនៃអគ្គិសនីកម្ពុជា។ តែទោះជាយ៉ាងណា ពេលនោះឈ្មោះលោក ប្រាំង ជលសា នៅមិនទាន់មានចុះក្នុងក្រុមហ៊ុននានានៃគ្រួសារត្រកូលប្រាំង នៅឯនាយសមុទ្រនោះនៅឡើយ។

ក៏ប៉ុន្តែនៅឆ្នាំ២០១៦ លោក ជលសា និងប្អូនៗទាំងបីរបស់លោក ដាក់ឈ្មោះរួមគ្នាខ្ចីលុយធនាគារអាមេរិកចំនួន៣សែនដុល្លារ សម្រាប់ប្រើការក្នុងក្រុមហ៊ុន។

អាស៊ីសេរីទាក់ទងសួរលោក ប្រាំង ជលសា ថាតើលោកបានប្រាក់ពីណាទៅសងធនាគារប្រចាំខែវិញ ចំពោះការខ្ចីលុយបន្ថែមចំនួន៣សែនដុល្លារ ផ្អែកលើប្រាក់ខែជាមន្ត្រីរដ្ឋាភិបាលនេះ។ តែលោកមិនឆ្លើយតបទេ។


ហត្ថលេខាលោក ប្រាំង ជលសា នៅលើឯកសារចំនួនពីរ មួយសម្រាប់អាជីវកម្មឯកជនក្នុងសហរដ្ឋអាមេរិក និង មួយទៀតសម្រាប់ការងាររដ្ឋនៅកម្ពុជា។ ឯកសារខាងឆ្វេង លោកបានចុះហត្ថលេខា ជាមួយសមាជិកគ្រួសារដទៃទៀត ដើម្បីខ្ចីប្រាក់ជាថ្មី សម្រាប់កម្ចី ៣សែនដុល្លារ នៃក្រុមហ៊ុនមួយរបស់ពួកគេ នៅអាមេរិក កាលពីថ្ងៃទី១០ ខែមិថុនា ឆ្នាំ២០១៦។ ឯកសារខាងស្តាំ លោកបានចុះហត្ថលេខាលើសេចក្តីអញ្ជើញចូលរួមដេញថ្លៃ សម្រាប់គម្រោងបញ្ជូនអគ្គិសនី របស់អគ្គិសនីកម្ពុជា (EDC) ចុះថ្ងៃទី០៣ ខែវិច្ឆិកា ឆ្នាំ២០១៦។


សញ្ញាព្រមាន

ក្នុងរយៈពេល២០ឆ្នាំ គឺពីឆ្នាំ១៩៩៨ ដល់ឆ្នាំ២០១៨ គ្រួសារលោក អ៊ិត ប្រាំង ទិញដីនៅអាមេរិកបាន ជិត១០០ហិកតា និងចំណាយទៅលើដីនេះអស់ប្រាក់ប្រមាណជិត៤លានដុល្លារ។

នាយកអង្គការតម្លាភាពអន្តរជាតិ Transparency International ប្រចាំសហរដ្ឋអាមេរិក លោក ហ្គារី ខាលម៉ាន់ (Gary Kalman) កត់សម្គាល់ថា ការចរាចរប្រាក់ដែលគ្មានប្រភពច្បាស់លាស់ គួរតែត្រូវបានគេតាមដានយកចិត្តទុកដាក់ថាជា សញ្ញាព្រមាន មួយ។ តែលោកបញ្ជាក់ថាករណីបែបនេះ វាជារឿងគួរឲ្យសោកស្ដាយ តែក៏មិនមែនជាការគួរឲ្យភ្ញាក់ផ្អើលប៉ុន្មានដែរ។ លោកមានប្រសាសន៍ប្រាប់អាស៊ីសេរីថា ចំណុចខ្វះខាតនៃច្បាប់សហរដ្ឋអាមេរិក បានធ្វើឲ្យសហរដ្ឋអាមេរិក ក្លាយជាទីកន្លែងស្រូបយកប្រាក់បានមកពីប្រភពមិនស្របច្បាប់នានា។



រឿងរ៉ាវទិញដីតម្លៃរាប់លានដុល្លាររបស់កូនៗលោក អ៊ិត ប្រាំង នៅសហរដ្ឋអាមេរិក មិនអាចលាក់បាំងភ្នែកលោក ហ៊ុន សែន បានឡើយ។ លោក ហ៊ុន សែន បានដឹងអំពីរឿងនេះ ហើយលោកថែមទាំងអំពាវនាវឲ្យអាមេរិក រឹបអូសយកទ្រព្យសម្បត្តិទាំងនោះផង៖ "បើតាមដែលខ្ញុំដឹងណា៎ មានតែកូន អ៊ិត ប្រាំង ទេ ដែលមានចម្ការ...ចម្ការទំពាំងបាយជូរ នៅ...រដ្ឋស្អីមួយនោះ...។ អញ្ចឹងទេ កូនរបស់ អ៊ិត ប្រាំង នេះ ប្រហែលជាជាតិអាមេរិក។ អើ បើជាតិអាមេរិក រឹបអូសទ្រព្យសម្បត្តិ ជាតិអាមេរិកខ្លួនឯង ក៏រឹបទៅ។ ហើយបើមានមន្ត្រីណា មានលុយសល់ចាយមិនអស់ យកទៅទុកនៅនឹងប្រទេសអាមេរិក ហើយត្រូវអាមេរិករឹបអូស ខ្ញុំស្វាគមន៍ការរឹបអូស។ ព្រោះនោះជាប្រាក់បានមកពីអំពើពុករលួយ។ យកទៅ! អាហ្នឹងដើម្បីឲ្យខ្ញុំបានឃើញមុខមាត់ពិត នៃមន្ត្រីដែលមានប្រាក់ចាយមិនអស់ យកទៅចោលនៅស្រុកគេ។"

លោក ហ៊ុន សែន ថ្លែងបែបនេះ កាលពីថ្ងៃទី២៩ ខែកក្កដា ឆ្នាំ២០១៩ ក្នុងឱកាសពិនិត្យការដ្ឋានសាងសង់ពហុកីឡាដ្ឋានមួយ ដែលដាក់ឈ្មោះលោក។

អ្វីដែលលោក ហ៊ុន សែន មិនបានលើកមកនិយាយនៅពេលនោះ គឺកូនៗរបស់លោកផ្ទាល់ ក៏ធ្លាប់មានទ្រព្យសម្បត្តិនៅសហរដ្ឋអាមេរិកដែរ។ ក្រោយកូនៗលោក អ៊ិត ប្រាំង ទិញនៅហ្វ្លរីដា មិនបានប៉ុន្មានផង កូនៗលោក ហ៊ុន សែន ទិញផ្ទះនៅជាយក្រុង ញ៉ូវយក (New York) តម្លៃ ជាងកន្លះលានដុល្លារ។

បុគ្គលពាក់ព័ន្ធនយោបាយ

ទោះបីជា វាជាការពិតដែលថា វិស័យអចលនទ្រព្យនៅអាមេរិក មួយភាគធំ រួចផុតពីកាតព្វកិច្ចស៊ើបអង្កេតប្រភពហិរញ្ញវត្ថុយ៉ាងណាក៏ដោយ រឿងរ៉ាវនៃការស៊ើបអង្កេតប្រភពហិរញ្ញវត្ថុនេះ មិនដូចគ្នាទេសម្រាប់វិស័យធនាគារ ដែលបានផ្ដល់ប្រាក់កម្ចីសម្រាប់ទិញអចលនទ្រព្យតម្លៃជាងពីរលានដុល្លារ ដល់ក្រុមគ្រួសារមួយនេះ។

ដោយសារតែតួនាទីរបស់លោក អ៊ិត ប្រាំង ជាមន្ត្រីជាន់ខ្ពស់រដ្ឋាភិបាល និងតំណែងរបស់លោក ប្រាំង ជលសា ជាថ្នាក់ដឹកនាំនៃស្ថាប័នរដ្ឋ ពួកគេត្រូវបានចាត់ចែង ក្នុងក្រុមជនដែលត្រូវគេស៊ើបអង្កេត ដោយសារតែពួកគេជាបុគ្គលដែលពាក់ព័ន្ធនយោបាយ។


លោក ប្រាំង ជលសា ក្នុងពិធីចុះហត្ថលេខាមួយនៅខេត្តសៀមរាប រវាងអគ្គិសនីកម្ពុជា (EDC) និងអាជ្ញាធរអគ្គិសនីថៃ (Electricity Generating Authority of Thailand) ស្តីពីការជួសជុលប្រព័ន្ធបញ្ជូនចរន្តអគ្គិសនី កាលពីថ្ងៃទី២៧ ខែមេសា ឆ្នាំ២០១៧។ (រូបថត៖ អគ្គិសនីកម្ពុជា EDC)


គោលការណ៍ណែនាំ ដែលដាក់ចេញដោយស្ថាប័នត្រួតពិនិត្យហិរញ្ញវត្ថុអន្តរជាតិមួយ ឈ្មោះ ក្រុមការងារចំណាត់ការហិរញ្ញវត្ថុ ឬ (Financial Actions Task Force-FATF) ហើយដែលត្រូវបាននិយតករ និងស្ថាប័នត្រួតពិនិត្យហិរញ្ញវត្ថុនៅទូទាំងសាកលលោក យកទៅអនុវត្ត តម្រូវឱ្យស្ថាប័នហិរញ្ញវត្ថុទាំងអស់ ត្រូវមានការប្រុងប្រយ័ត្នខ្ពស់ ក្នុងពេលទូទាត់ប្រាក់តាមធនាគារជាមួយបុគ្គលពាក់ព័ន្ធនយោបាយ ជាជនបរទេស ដោយសារពួកគេអាចជាអ្នកទទួលបានទ្រព្យសម្បត្តិពីប្រភពមិនស្របច្បាប់។

គោលការណ៍ណែនាំដដែលនេះ ក៏បានតម្រូវឱ្យធនាគារ ធ្វើការវាយតម្លៃជាលម្អិត ថាតើអតិថិជនរបស់ពួកគេ អាចជា បុគ្គលពាក់ព័ន្ធនយោបាយ ដែរឬទេ។ ប្រសិនបើពួកគេ ត្រូវបានរកឃើញថា ជាបុគ្គលដូច្នោះមែន ត្រូវមានការឯកភាពពីថ្នាក់ដឹកនាំជាន់ខ្ពស់ជាមុនសិន មុននឹងអនុញ្ញាតឲ្យពួកគេទូទាត់ប្រាក់តាមធនាគារ។ បន្ទាប់មក ធនាគារត្រូវចាត់វិធានការណ៍សមហេតុផល ដើម្បីរកឲ្យឃើញពីប្រភពទ្រព្យសម្បត្តិរបស់ពួកគេ។ 

អ្វីដែលសំខាន់នោះ គឺថាគោលការណ៍ណែនាំរបស់ស្ថាប័ន FATF ក៏បានតម្រូវឱ្យចាត់ទុកសមាជិកគ្រួសាររបស់បុគ្គលពាក់ព័ន្ធនយោបាយ ថាក៏ជាអ្នកពាក់ព័ន្ធនយោបាយដូចគ្នាដែរ។

ដូច្នេះហើយ ក្រុមគ្រួសារលោក អ៊ិត ប្រាំង ទាំងមូល មានលក្ខណៈសម្បត្តិចាត់ចូលជាបុគ្គលពាក់ព័ន្ធនយោបាយ ហើយឈរលើគោលការណ៍នេះ កម្ចីសម្រាប់ទិញអចលនទ្រព្យរបស់ពួកគេ គួរតែត្រូវបានដាក់ឱ្យស្ថិតក្រោមការពិនិត្យពិច័យកាន់តែខ្លាំងពីសំណាក់ស្ថាប័នធនាគារ។

ក្រុមគ្រួសារលោក អ៊ិត ប្រាំង និងការវិនិយោគអចលនទ្រព្យនៅកម្ពុជា

ការចរាចរលុយរាប់លានដុល្លារនេះ អាចគេចវេះបានទាំងនៅសហរដ្ឋអាមេរិក និងនៅភ្នំពេញ។

នៅឆ្នាំ២០១៥ លោក ជលសា បានចុះហត្ថលេខាលើឯកសារមួយដែលទាក់ទងនឹង ដីនៅអាមេរិកតម្លៃ១លានកន្លះ។ មានអ្នកធំនៅអគ្គិសនីកម្ពុជា ធ្វើជាសាក្សី ក្នុងការចុះហត្ថលេខានេះ ព្រមទាំងមានប្រថាប់ត្រាបញ្ជាក់ពីលើពីមេធាវីផង។

ក្នុងឯកសារនោះ លោក ប្រាំង ជលសា ដាក់អាសយដ្ឋាន ដែលជាភូមិគ្រឹះរបស់ម្ដាយលោកនៅទួលគោក។


Apartment complex owned by the Praing family in Phnom Penh. (Photo: RFA)

ផ្ទះល្វែងប្រណីត ជាកម្មសិទ្ធិរបស់ក្រុមគ្រួសារត្រកូលប្រាំង នៅក្រុងភ្នំពេញ។ (រូបថត៖​ អាស៊ីសេរី)


គ្រួសារលោក អ៊ិត ប្រាំង មិនមែនមានភូមិគ្រឹះតែមួយកន្លែងនៅទួលគោកនេះទេ។ ចាប់តាំងពីឆ្នាំ២០០៨ គ្រួសារលោក អ៊ិត ប្រាំង បានជួសជុលអាគារកម្ពស់៧ជាន់មួយកន្លែងទៀតដែលស្ថិតនៅពីក្រោយភូមិគ្រឹះនោះតែម្តង។ អាគារកម្ពស់៧ជាន់នេះត្រូវបានគេកែច្នៃឲ្យទៅជាផ្ទះល្វែងប្រណីត បានចំនួន២១ល្វែង។

នៅគ្រានោះ ម្តាយលោក គឺលោកស្រី ញ៉ែម សេដ្ឋា ទទួលបានសិទ្ធិរស់នៅស្របច្បាប់ ដែលគេហៅថា Green Card នៅសហរដ្ឋអាមេរិកហើយ។

សហគ្រាសដែលផ្ដល់ផលចំណេញកប់ក្ដោង

នៅពាក់កណ្តាលខែធ្នូ ឆ្នាំ២០១៩ កន្លងទៅថ្មីៗនេះ គ្រួសារលោក អ៊ិត ប្រាំង បង្កើតក្រុមហ៊ុនថ្មី ចំនួន៦បន្ថែមទៀត។ ពួកគេបានដាក់ឈ្មោះក្រុមហ៊ុន៥ ក្នុងចំណោមក្រុមហ៊ុនថ្មីទាំង៦នេះ ដោយប្រើអក្សរកាត់ SDCH១ រហូតដល់ SDCH៥។ អក្សរ SDCH នេះ ទំនងជាអក្សរកាត់មកពីពាក្យថា សេដ្ឋាចន្ទ្រ ដែលជាឈ្មោះផ្ទះល្វែងប្រណីតរបស់គ្រួសារលោក អ៊ិត ប្រាំង នៅទួលគោកនោះឯង។



ថ្វីត្បិតតែគេមិនទាន់ដឹងឲ្យប្រាកដថា តើក្រុមហ៊ុនដែលពួកគេទើបបង្កើតថ្មីទាំង៦នេះ នឹងបើកប្រកបមុខរបរអ្វីឲ្យប្រាកដនៅឡើយក៏ដោយ ប្រការដែលគេបង្កើតក្រុមហ៊ុនម្តង៦បែបនេះ សបញ្ជាក់ថា គ្រួសារលោក អ៊ិត ប្រាំង កំពុងមានផែនការពង្រីកទ្រព្យធន និងមុខរបររបស់ខ្លួនកាន់តែខ្លាំងបន្ថែមទៀត នៅសហរដ្ឋអាមេរិក។

ប្រាកដណាស់គ្មានហេតុផលណាមួយដែលធ្វើឲ្យពួកគេដកថយឡើយ។ ពួកគេបានកាក់កបសម្បើមនឹងមុខរបររបស់គេនៅសហរដ្ឋអាមេរិក។ មិនតែប៉ុណ្ណោះ ពួកគេបានទទួលការជួយឧបត្ថម្ភបន្ថែមពីរដ្ឋាភិបាលអាមេរិក ជិតកន្លះលានដុល្លារបន្ថែមទៀតផង ដែលជាប្រាក់ជំនួយរបស់រដ្ឋាភិបាលអាមេរិកាំង ដល់ម្ចាស់ចម្ការដែលរងការខូចខាតពីគ្រោះធម្មជាតិ៕

© រក្សា​សិទ្ធិ​ដោយ​វិទ្យុអាស៊ីសេរី ឆ្នាំ២០២០​