តើ​កូនៗ​លោក ហ៊ុន សែន បាន​លុយ​ពី​ណា​ទិញ​ផ្ទះ​នៅ​អាមេរិក ពេល​កំពុង​សិក្សា​នៅ​ឡើយ?

ដោយ Jack Davies

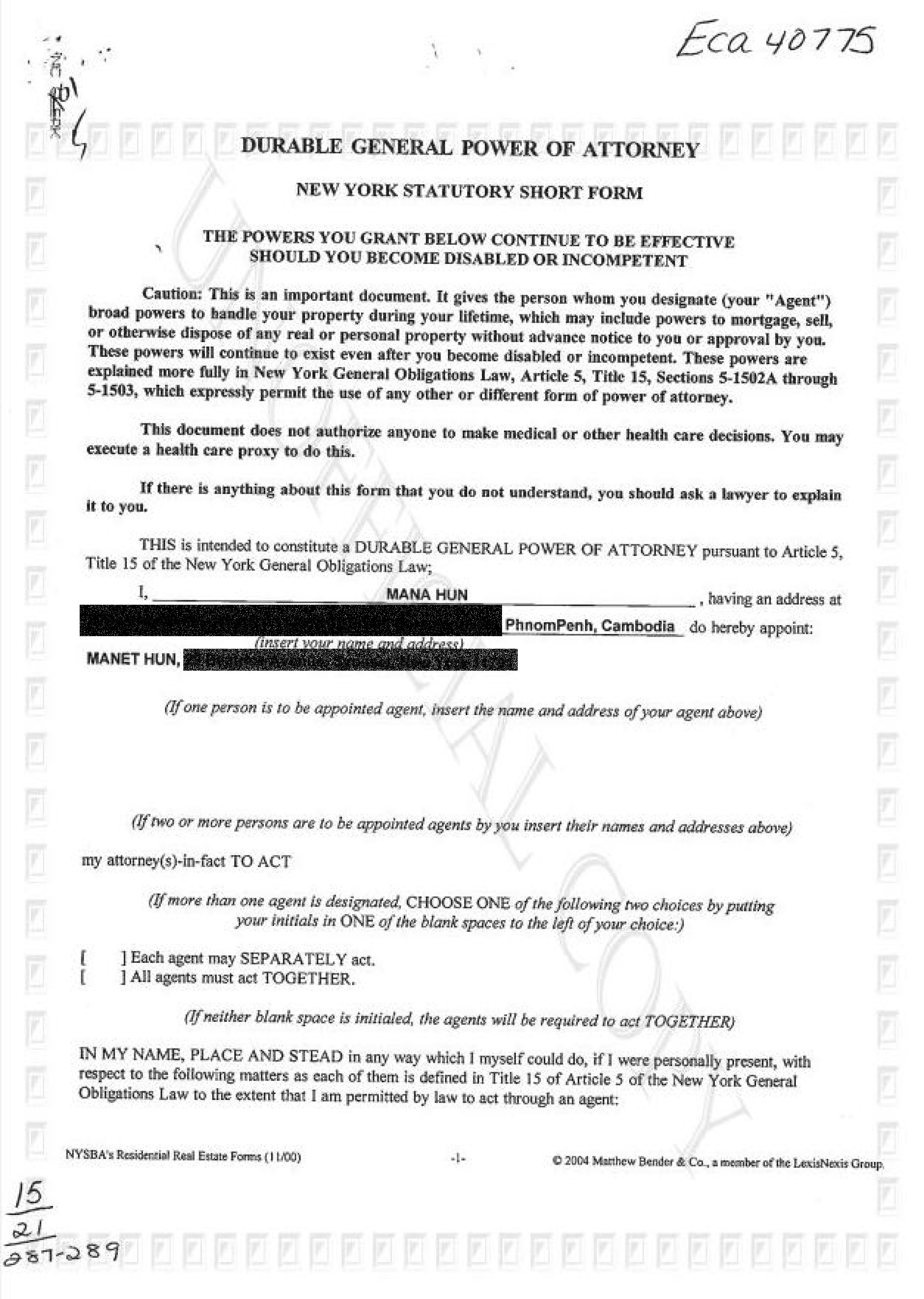
លោកនាយករដ្ឋមន្ត្រី ហ៊ុន សែន តែង​ឆ្លើយតប​ទៅ​នឹង​អ្នក​រិះគន់​ថា​ លោក​គ្មាន​ទ្រព្យ​សម្បត្តិ​លាក់​ទុក​នៅ​ក្រៅ​ប្រទេស​ទេ ​ហើយ​ថា​បើ​មន្ត្រី​ណា​យក​ទ្រព្យ​របស់​ខ្លួន​ ទៅ​លាក់​ទុក​នៅ​ក្រៅ​ប្រទេស​គឺជា​មនុស្ស​ភ្លើ​។ ​ទោះ​ជា​យ៉ាងណា​ យោង​តាម​ឯកសារ​ដែល​អាស៊ីសេរី​ ទទួល​បាន​ កូនៗ​របស់​លោក​ ហ៊ុន សែន​ ៤​នាក់​បាន​ទិញ​ផ្ទះ​រួម​គ្នា​មួយ​ស្ថិត​នៅ​ជាយ​ក្រុង​ញូវយ៉ក​ សហរដ្ឋ​អាមេរិក​ បើ​ទោះ​ជា​ផ្ទះ​នោះ​បាន​លក់​ទៅវិញ​ហើយ​ក៏​ដោយ​ចុះ​។​

កំណត់​ហេតុ​នៃ​ការ​ទិញ​លក់​ដី​ ដែល​អាស៊ីសេរី​ទទួល​បាន​ ស្តីពី​ការ​ទិញ​ផ្ទះ​ដែល​មាន​បន្ទប់​ដេក​ចំនួន​​បួន​ នៅ​ក្នុង​តំបន់​ជាយ​ក្រុង​ញូយ៉ក (New York) សហរដ្ឋអាមេរិក​ ដែល​ក្រុម​គ្រួសារ​លោក​ ហ៊ុន សែន​ បាន​ទិញ​កាល​ពី​ឆ្នាំ​២០០០​ បាន​បង្ហាញ​​ឱ្យ​​ឃើញ​នូវ​ជំហាន​ទី​១​ ដែល​ក្រុម​គ្រួសារ​​នេះ​​ប្រឹង​ប្រែង​​លាក់​បាំង​​នូវ​​ទ្រព្យ​​ធន​​ដ៏​ច្រើន​របស់​ខ្លួន​នៅ​ក្រៅ​ប្រទេស​ អស់​រយៈ​ពេល​ជិត ​២​ទសវត្ស​កន្លង​​ទៅ​។​

កូនៗ​ ទាំង​បួន​នាក់​របស់​លោក​ ហ៊ុន​ សែន គឺ​លោក​ ហ៊ុន ម៉ាណែត​ ដែល​ពេល​នោះ​មាន​អាយុ​ ២៣​ឆ្នាំ​ អ្នកស្រី ​ហ៊ុន ម៉ាណា ​ពេល​នោះ​ អាយុ​ ២០​ឆ្នាំ​ លោក​ ហ៊ុន ម៉ានិត​ ពេល​នោះ​ អាយុ ​១៩ឆ្នាំ​ និង​លោក​ ហ៊ុន ម៉ានី ​ដែល​ពេល​នោះ​មាន​អាយុ​មិន​ទាន់​គ្រប់​ ១៨ឆ្នាំ​ស្រួលបួល​ផង ​ពួកគេ​បាន​ទិញ​ផ្ទះ​រួមគ្នា​មួយ​ខ្នង​ ក្នុង​តំបន់​ជាយ​ក្រុង​ញូយ៉ក​ ក្នុង​តម្លៃ​​ទឹកប្រាក់សរុប ៥​​សែន​ ៥​ម៉ឺន​ដុល្លារ​អាមេរិក (៥៥០.០០០)។ ការ​ទិញ​ផ្ទះ​នៅ​ពេល​នោះ​គឺ​ធ្វើ​ឡើង​នៅ​ពេល​ដែល​កូន​ប្រុស​ច្បង​របស់​លោក ​ហ៊ុន សែន ​គឺ​លោក ហ៊ុន ម៉ាណែត​ កំពុង​សិក្សា​ថ្នាក់​អនុបណ្ឌិត​ឆ្នាំ​ទី២​ ផ្នែក​សេដ្ឋកិច្ច​នៃ​សកល​វិទ្យាល័យ​ទីក្រុង​ញូយ៉ក​។​ លោក​ ហ៊ុន ម៉ាណែត ​ក៏​ជា​ជនជាតិ​ខ្មែរ​ដំបូង​ដែល​បាន​បញ្ចប់​ការ​សិក្សា​ នៅ​បណ្ឌិត​យោធាអាមេរិក​ វេស ផួញ (West Point) នៅ​ដើម​ឆ្នាំ​១៩៩៩ ​ដែល​ផ្ទះ​នោះ​នៅ​មិន​ឆ្ងាយ​ប៉ុន្មាន​ពី​ សកលវិទ្យាល័យ​ ទីក្រុង​ញូយ៉ក​នោះ​ឡើយ​។​

ដោយសារ​កូនៗ​ទាំង​បួន​របស់​លោក​ ហ៊ុន សែន​ កាល​នោះ​កំពុង​ស្ថិត​នៅ​ក្នុង​វ័យ​សិក្សា​នៅ​ឡើយ​ ហើយ​ប្រាក់ខែ​ផ្លូវការ​របស់​លោក​ ហ៊ុន សែន ​គឺ​ប្រមាណ​តែ ​១ម៉ឺន ​២ពាន់​ដុល្លារ​​អាមេរិក​​ប៉ុណ្ណោះ​ ក្នុង​​មួយ​ឆ្នាំ​ (១២.០០០)។ ដូច្ចេះ​ការ​ទិញ​ផ្ទះ​នេះ​ បាន​ធ្វើ​ឱ្យ​​មាន​សំណួរ​ជាច្រើន​​ថា ​តើ​ពួកគេ​ដែល​​ជា​​កូនៗ​ របស់​​លោក​ ហ៊ុន សែន ​ដែល​ពេល​នោះ​កំពុង​ស្ថិត​ក្នុង​វ័យ​សិក្សា​ បាន​ប្រាក់​មក​ពី​ណា​ក្នុង​​ការ​​ទិញ​​ផ្ទះ​​មួយ​​ខ្នង​​នោះ​។ យោង​តាម​កំណត់ហេតុ​នៃការ​ទិញ​ដូរ​អចលនទ្រព្យ​នេះ​ ក៏​​ពុំ​មាន​​កន្លែង​​ណា​មួយ​​បញ្ជាក់​​ថា​ កូនៗ ​ត្រកូល​ហ៊ុន​បង់​ប្រាក់​រំលោះ​ផ្ទះ​នេះ​នោះ​ទេ​។​



អាស៊ីសេរី​បាន​ផ្ញើ​សំណួរ​សុំ​ការ​ឆ្លើយ​តប​ពី​កូន​ៗ​ ទាំង​បួន​នាក់​របស់​លោក​ ហ៊ុន សែន​ ជុំវិញ​​រឿង​​​ទិញ​​ផ្ទះ​​នេះ​ តែ​​ពួក​គេ​​មិន​​បាន​​ឆ្លើយ​តប​​នោះ​​ឡើយ។​ ជុំវិញ​រឿង​នេះ​ផង​ដែរ​ អ្នក​​រិះគន់​​លោក​ ហ៊ុន សែន ​សម្តែង​ការ​សង្ស័យ​ ចំពោះ​ទឹក​ប្រាក់​ដែល​បាន​ប្រើប្រាស់​ក្នុងការ​ទិញ​ផ្ទះ​មួយ​ខ្នង​នេះ ​ដែល​មាន​ទីតាំង​ស្ថិត​ក្នុង​តំបន់​អ្នកមាន​ សាយយ៉ូសិត (Syosset) នៃ​កោះឡង​ អៃសឡេន (Long Island) ក្នុង​ទីក្រុង​ញូយ៉ក​ ដែល​ប្រើ​ពេល​ធ្វើ​ដំណើរ​តាម​រថយន្ត​ប្រមាណ​ជាង​មួយ​ម៉ោង​ពី​​ទី​​ប្រជុំជន​ មែនហ៊េតថិន (Manhattan) ដែល​ជា​ទី​ប្រជុំជន​ដ៏ធំ​របស់​ទីក្រុង​នេះ​។

ប្រធាន​ស្តី​ទី​គណបក្ស​ប្រឆាំង​ដែល​កំពុង​រស់នៅ​និរទេស​ខ្លួន​ លោក សម រង្ស៊ី ​លើកឡើង​ថា​ វា​​ប្រាកដ​​ច្បាស់​​ហើយ​​​ថា​ លុយ​​ដែល​​ទិញ​​ផ្ទះ​​នេះ​ គឺជា​លុយ​ដែល​កើត​ចេញ​​ពី​​អំពើ​​ពុក​រលួយ​។ វា​​ជា​​អំពើ​ពុក​រលួយ​​របស់​​រដ្ឋាភិបាល​​លោក ​ហ៊ុន សែន ​ជា​អំពើ​ពុក​រលួយ​ដែល​កើត​មាន​ជា​ប្រព័ន្ធ​ និង​​ជា​អំពើ​​ពុក​រលួយ ​ដែល​​កើត​​ចេញ​​ពី​ការ​​ជញ្ជក់​​ឈាម​​ប្រជាពលរដ្ឋ​ខ្មែរ​។​

ជា​ផ្ទះ​សាមញ្ញ ​តែ​មាន​សារៈសំខាន់​


ផ្ទះដែលមានបន្ទប់ដេកបួន ស្ថិត​ក្នុង​តំបន់​អ្នកមាន​ សាយយ៉ូសិត (Syosset) នៃ​កោះឡង​ អៃសឡេន (Long Island) ក្នុង​ទីក្រុង​ញូយ៉ក​ (New York)។​ (ប្រភព៖ https://lrv.nassaucountyny.gov)


ផ្ទះ​ដែល​កូនៗ​ ទាំង​បួន​របស់​លោក​ ហ៊ុន សែន​ បាន​ទិញ​នេះ​ មាន​លក្ខណៈ​សាមញ្ញ ​បើ​ប្រៀបធៀប​​​ទៅ​​​នឹង​​​ស្តង់ដារ​​​នៃ​​​អ្នក​​មាន​​​ទ្រព្យ​​មហាសាល​​នៅ​កម្ពុជា​នៃ​គ្រួសារ​ត្រកូល​ហ៊ុន​ ដែល​កំពុង​គ្រប់គ្រង​​ប្រទេស​នេះ​។​ តាម​ការ​ស៊ើបអង្កេត​របស់​ទី​ភ្នាក់ងារ​សារព័ត៌មាន​ រ៉យទ័រ (Reuters)​ កាល​​ពី​​ខែ​​តុលា​ បាន​​បង្ហាញ​​ថា​ ត្រកូល​ហ៊ុន​ មាន​អចល​ទ្រព្យ ​និង​ផ្ទះ​សម្បែង​នៅ​ជុំវិញ​ពិភព​លោក​ ដែល​មាន​តំលៃ​រាប់​សិប​លាន​ដុល្លារ​អាមេរិក​។​ បណ្ឌិត​ លី ម៉ហ្គែនប៊ែសឺ (Lee Morgenbesser) នៃ​សកល​វិទ្យាល័យ​ ហ្រ្គីសហ្វីត (Griffith) ក្នុង​ទីក្រុង​ ឃ្វីនឡែន (Queensland) នៃ​ប្រទេស​អូស្រ្តាលី​ បាន​គូស​បញ្ជាក់​ថា​ ផ្ទះ​ដែលកូនៗ របស់លោក ហ៊ុន សែន បានទិញក្នុងពេលដែលពួកគេកំពុងស្ថិតក្នុងវ័យសិក្សានោះ យ៉ាងហោចណាស់ មាន​រយៈ​ពេល​មួយ​ទសវត្ស​មុន​ពេល​ដែល​របាយការណ៏ ស្តីពី​អចលនទ្រព្យ​​នៅ​ក្រៅ​ប្រទេស​របស់​គ្រួសារត្រកូល ហ៊ុន ត្រូវ​បាន​ទម្លាយ​ចេញ ដែល​នេះ​អាច​ធ្វើ​ឱ្យ​គេ​សន្និដ្ឋាន​​បាន​ថា ត្រកូល ហ៊ុន មាន​ទ្រព្យធន​ច្រើន​ជាង​ចំនួន ដែល​គេ​ធ្លាប់​បាន​​គិត​​ពី​​ពេល​​មុន​​ទៅ​​ទៀត។ បណ្ឌិត លី ម៉ហ្គែនប៊ែសឺ (Lee Morgenbesser) ដែល​ជា​អ្នក​សិក្សា​ពី​របប​ផ្តាច់ការ​ក្នុង​​តំបន់​​អាស៊ី​​​អគ្នេយ៍​បាន​​បន្ថែម​​ទៀត​​ថា៖ «ប្រសិនបើក្រុមគ្រួសារត្រកូល ហ៊ុន ពិត​ជា​ផ្តើម​ទិញ​អចលនទ្រព្យថ្លៃៗ នៅ​ក្រៅ​ប្រទេស​តាំង​តែ​ពី​ឆ្នាំ២០០០ មែន​​នោះ គឺ​​អាច​​ឲ្យ​​យើង​​សន្និដ្ឋាន​​បាន​​ថា សកម្មភាព​ក្នុង​ការ​បង្កើន​ទ្រព្យ​ដោយ​​ទុច្ចរិត និង​ការ​​វិនិយោគ​​របស់​​ត្រកូល ហ៊ុន នេះ មាន​ទំហំ​ធំធេង​លើស​ពី​អ្វី​ដែល​យើង​ធ្លាប់​ដឹង។ ខ្ញុំអាច​សន្និដ្ឋានបានថា ទំហំ​​នៃ​​ទ្រព្យ​​សម្បត្តិ​​របស់​​គ្រួសារ​​ត្រកូល ហ៊ុន គឺ​​វា​​ធំធេង​​ជាង​​អ្វី​ដែល​ធ្លាប់​បាន​​រាយការណ៍​កន្លង​មក»។



លោក សម រង្ស៊ី ប្រធានស្តីទីគណបក្សសង្គ្រោះជាតិ បានរំលឹកឡើងវិញនូវអតីតភាពរបស់លោក ក្នុង​នាម​ជា​រដ្ឋមន្ត្រី​ក្រសួង​សេដ្ឋកិច្ច និងហិរញ្ញវិត្ថុ ពីឆ្នាំ១៩៩៣ ដល់ឆ្នាំ១៩៩៤ ដោយបានចោទ ប្រកាន់ លោក ហ៊ុន សែន ថា បាន​ប្រឹងប្រែង​ដោយ​ចេតនា​ក្នុង​ការ​ការពារ​ផល​ប្រយោជន៍ ដែល​បាន​មក​ពី​អំពី​ពុក​រលួយ​របស់​ក្រុម​គ្រួសារ និងបក្សពួករបស់ខ្លួន នៅ​ក្នុង​ឧស្សហកម្ម​កាប់​ឈើ​ដែល​ក្នុង​នោះ​លោក ហ៊ុន​ សែន បាន​រារាំង​រាល់​ការ​ត្រួត​ពិនិត្យ​របស់​ក្រសួង​ហិរញ្ញវត្ថុ​ទៅ​លើ​ការ​នាំ​ឈើ​​ចេញ​​ទៅ​ក្រៅ​ប្រទេស។ ការចោទប្រកាន់របស់លោក សម រង្ស៊ី មានភាពស៊ីសង្វាក់គ្នាជាមួយការ ស៊ើបអង្កេត របស់អង្គការក្រៅ​រដ្ឋាភិបាលមួយចំនួន ដូចជាអង្គការ Global Witness ជាដើម។ អង្គការ​នេះ ដែលបានរកឃើញថា ការកាប់ឈើខុសច្បាប់នៅក្នុងប្រទេសកម្ពុជា បាន​កើត​មាន​ឡើង ក្រោម​ប្រព័ន្ធ​គ្រប់គ្រង​បែប «អញជួយឯង ឯងជួយអញ» នៅទូទាំងប្រទេស ដែល​ចំណូល​បាន​មក​ពី​កាប់​​ឈើ​ទាំង​​នោះ បាន​ហូរ​ចូលទៅក្នុង​ហោប៉ៅ អ្នករត់ពន្ធឈើទៅក្រុមឧកញ្ញា និង​ពី​ឧកញ៉ា​បន្ត ទៅ​ហោប៉ៅរបស់​មន្រ្តីគ្រាក់ៗរបស់រដ្ឋាភិបាលខ្មែរ។

ប្រទេសកម្ពុជាក្នុងពេលបច្ចុប្បន្ន ស្ថិតក្នុងចំណាត់ថ្នាក់ទី១៦១ ក្នុងចំណោមប្រទេសចំនួន១៨០ នៅ​ក្នុង​​បញ្ជី​ស្តីពី​អំពើ​ពុក​រលួយ​របស់​អង្គការ​តម្លាភាព​អន្តរជាតិ (Transparency International)។​ លោក ហ៊ុន សែន បាន​កាន់​តួនាទី​ជា​នាយក​រដ្ឋមន្ត្រី ចាប់​តាំង​ពី​ឆ្នាំ១៩៨៥ មក។

នៅគ្រាដែលកូនៗរបស់លោក ហ៊ុន​ សែន ទិញផ្ទះនៅជាយក្រុងបុរីញូយ៉ក សហរដ្ឋអាមេរិក ទិន្នន័យ​របស់ធនាគាពិភពលោក (World Bank) បានបង្ហាញថា ពលរដ្ឋខែ្មរសាមញ្ញម្នាក់ៗ អាច​រក​ចំណូល​​បាន​​តែ ៣រយដុល្លារ​អាមេរិក (៣០០ដុល្លារ) តែ​ប៉ុណ្ណោះ​ក្នុង​មួយ​ឆ្នាំ។ ប្រសិនបើពលរដ្ឋខ្មែរសាមញ្ញ​ម្នាក់ សន្សំប្រាក់មួយសេនចេញពីក្នុងទឹកប្រាក់ ៣០០ដុល្លារ​ដែល​គេ​រក​បាន ក្នុង​​មួយ​ឆ្នាំ​​នោះ គេ​នឹង​​ត្រូវ​ប្រើ​ពេល​វេលា​ជាង ១ពាន់ ៦រយ​ឆ្នាំ (១.៦០០) ដើម្បី​សន្សំ​ប្រាក់​​ឱ្យ​​បាន ៥សែន​​ដុល្លារ នៃ​​តម្លៃ​​​ផ្ទះ​​​នោះ។

ដំណើរទៅមុខ

៧ឆ្នាំក្រោយមក គឺក្នុងឆ្នាំ២០០៧ កូនៗរបស់លោក ហ៊ុន សែន បានលក់ផ្ទះនោះក្នុងតម្លៃ ៧សែន ៤ម៉ឺនដុល្លារអាមេរិក (៧៤០.០០០)។ ក្នុងចំណោមកូនៗទាំងបួននាក់ដែលមានឈ្មោះក្នុងបញ្ជី ទិញ​ផ្ទះ​នោះ គឺមានតែកូនច្បងរបស់លោក ហ៊ុន សែន ម្នាក់ប៉ុណ្ណោះ គឺលោក ហ៊ុន ម៉ាណែត ដែល​មាន​វត្តមានក្នុងទីក្រុងញូយ៉ក ក្នុងការចុះហត្ថលេខាដើម្បីលក់ផ្ទះនោះ។ ដើម្បីលក់ផ្ទះនោះបាន លោក ហ៊ុន ម៉ាណែត បានទទួលសិទ្ធិតាមផ្លូវច្បាប់ក្នុងការចុះហត្ថលេខាជំនួសប្អូនៗរបស់លោក​ ដែល​​លិខិត​ផ្ទេរ​សិទ្ធិ​តាម​ផ្លូវ​ច្បាប់​នេះ ត្រូវ​បាន​ប្រថាប់​ត្រា​ទទួល​ស្គាល់​ដោយ​មន្ត្រី​កុងស៊ុល​របស់​ស្ថានទូត​អាមេរិក​ក្នុង​ប្រទេស​កម្ពុជា និង​ប្រទេស​​អូស្តា្រលី។



ឯកសារទាំងនោះ បានបង្ហាញអោយដឹង ពីតំរុយនៃជីវិតរស់នៅរបស់កូនៗលោក ហ៊ុន សែន នៅ​​ពេល​នោះ។ លោក ហ៊ុន ម៉ានិត ដែល​បច្ចុប្បន្ន​មាន​តួនាទី​ជា​ប្រធាន​ចារកម្ម​ផ្នែក​យោធា​របស់​កម្ពុជា បានដាក់អស័យដ្ឋានផ្ទះរបស់លោក ឌី​ វិជ្ជា ដែល​មាន​តម្លៃ​រាប់​លាន​ដុល្លារ​អាមេរិក នៅ​​ក្នុង​​ប្រទេស​​អូស្ត្រាលី។ លោក ហ៊ុន ម៉ានិត រៀបការជាមួយប្អូនស្រីរបស់លោក ឌី វិជ្ជា គឺ​អ្នកស្រី ហុក ចាន់ដាវី ដែល​ជា​កូន​របស់​លោក ហុក ឡង់ឌី អគ្គស្នងការ​នគរបាលជាតិ​នៅ​ពេល​នោះ។

ចំណែក​លោក ហ៊ុន ម៉ានី​ វិញ នៅក្នុងឆ្នាំ២០០៤ លោកមានអាយុ ២៤ឆ្នាំ។ បច្ចុប្បន្នលោក​ជា​សមាជិក​​សភា​របស់​គណបក្ស​ប្រជាជនកម្ពុជា ដែលជាគណបក្សកាន់អំណាច បាន​ផ្តល់​អស័យដ្ឋាន​​របស់​​លោក​នៅ​ពេល​នោះ​ថា​ ជានិស្សិតកំពុងស្នាក់ក្នុងអន្តេវាសិកដ្ឋាន (dormitory) នៅក្នុងទីក្រុង មែលប៊ន (Melbourne) ប្រទេសអូស្ត្រាលី។



ទន្ទឹមគ្នានេះដែរ អ្នកស្រី ហ៊ុន ម៉ាណា ដែលនៅពេលនោះ ជិតចូលរោងការជាមួយលោក ឌី​ វិជ្ជា បាន​ប្រើប្រាស់​អស័យដ្ឋាន​របស់​ឳពុក​អ្នក​ស្រី​នៅ​ទល់​មុខ​វិមាន​ឯករាជ្យ​ ក្នុង​រាជធានី​ភ្នំពេញ។ អ្នក​សរសេរ​ប្រវត្តិរូប​របស់​លោក ហ៊ុន សែន បាន​ព័ណ៌នា​លំនៅឋាន​នោះ​ថា ជា​វិមាន​ភូមិគ្រឹៈ​ដ៏​ធំ​ល្វឹងល្វើយ មាន​ទីធ្លា​សួន​ច្បារ​ដ៏​ស្រស់​ស្អាត ដែល​ដើម​ផ្កា​ត្រូវ​បាន​គេ​រចនា​ចេញ​ជា​រូប​ក្តាន់ និង​​សត្វ​​ឆ្កែ​ជា​​​ដើម។

សក្ខីកម្មក្លែងក្លាយ?

យោងតាមឯកសារ ដែលអាស៊ីសេរីទទួលបាន ការទិញផ្ទះនៅជាក្រុងញូយ៉កកាលពីឆ្នាំ២០០០នោះ ក៏​បាន​លេច​ចេញ​នូវ​សំណួរ​ជា​ច្រើន​ ទាក់ទងនឹងកូនប្រុសច្បងរបស់លោក ហ៊ុន សែន គឺ​លោក ហ៊ុន ម៉ាណែត ដែល​បច្ចុប្បន្ន​នេះ មាន​តួនាទី​ជា​អគ្គ​មេបញ្ជាការ​កងទ័ព​ជើង​គោក បានផ្តល់សក្ខីកម្ម​ក្លែងក្លាយ ដល់តុលាការសហព័ន្ធរបស់អាមេរិកកាលពីឆ្នាំ២០១៧ ដែល​អាច​ប្រឈម​ទោស​​ព្រហ្មទណ្ឌ ក្រោម​ច្បាប់​សហរដ្ឋ​អាមេរិក។ លោក ហ៊ុន ម៉ាណែត បានបញ្ជាក់នៅក្នុងលិខិតប្រកាស​មួយ​បង្ហាញ​ទៅ​តុលាការ​កណ្តាល​ក្នុង​រដ្ឋ​កាលីហ្វ័រញ៉ា (California Central District Court) សហរដ្ឋ​​អាមេរិក ជា​ការ​ឆ្លើយ​តប​ទៅ​នឹង​បណ្តឹង​របស់​មន្ត្រី​គណបក្ស​ប្រឆាំង លោក មាជ សុវណ្ណារ៉ា ដែល បាន​ចោទ លោកហ៊ុន ម៉ាណែត ថា ជា​អ្នក​រួម​គំនិត​ក្នុង​ការ​ធ្វើ​ទារុណ្ឌកម្ម។ នៅ​ក្នុង​​លិខិត​ជូន​ទៅ តុលាការនោះ លោក ហ៊ុន ម៉ាណែត បាន​ប្រកាស​ថា៖ «រូប​គាត់​បាន​ចូល​សិក្សា​នៅ​សាលាបណ្ឌិត​យោធា​អាមេរិក​ ពីឆ្នាំ១៩៩៤​ ដល់ ឆ្នាំ១៩៩៩ ហើយ​ពេល​​នោះ គឺ​​ជា​​ពេល​វេលា​តែ​​មួយ​គត់​ដែល​គាត់​បាន​រស់​នៅ​​លើ​ទឹក​ដី​សហរដ្ឋ​អាមេរិក»។​

ទោះជាយ៉ាងនេះក្តី នៅពេលលោក​ ហ៊ុន ម៉ាណែត និងប្អូនៗទាំង៣នាក់របស់លោកទិញផ្ទះ នៅក្នុង​ទីក្រុងញូយ៉ក ឆ្នាំ២០០០​នោះ លោកបានផ្តល់អស័យដ្ឋានមួយផ្សេងទៀតនៅក្នុងរដ្ឋញូយ៉កថា ជា​ផ្ទះ​​របស់​លោក ដោយ​ដាក់​ថា រូប​លោក​បាន​រស់នៅ​ទីនោះ​ក្រោយ​ឆ្នាំ១៩៩៩។ ៧ឆ្នាំ​ក្រោយ​មក លោក​គឺ​ជា​មនុស្ស​តែ​ម្នាក់​គត់​ក្នុង​ចំណោម​បង​ប្អូន​របស់​លោក ដែល​បាន​បង្ហាញ​មុខ​ក្នុង​ទីក្រុង ញូយ៉ក ដើម្បី​​ចុះ​ហត្ថលេខា​លក់​ផ្ទះ​នោះ។ លោក ហ៊ុន ម៉ាណែត ក៏​បាន​ចុះ​ឈ្មោះ​ចូល​រៀន​ក្នុង​​សកល​វិទ្យាល័យ​​ញូយ៉ក សម្រាប់​​កម្មវិធី​សិក្សា​អនុបណ្ឌិត​ផ្នែក​សេដ្ឋកិច្ច រហូត​ដល់​ខែ​មករា ឆ្នាំ២០០២។ ក្នុង​ឆ្នាំ២០០៣​ អ្នក​សរសេរ​ប្រវត្តិរូប​របស់​លោក ហ៊ុន សែន បាន​ធ្វើ​បទ​សម្ភាសន៍​មួយ ជាមួយ​លោក ហ៊ុន ម៉ាណែត ក្នុង​ទីក្រុង​បាងកក ប្រទេស​ថៃ ដោយ​​អ្នក​​សរសេរ​​ប្រវត្តិ​រូប​​នោះ​ពិពណ៌នា​​ថា លោក ហ៊ុន ម៉ាណែត បាន​រស់​នៅ​ក្នុង​ទីក្រុង​ញូយ៉ក នៅ​ក្នុង​អំឡុង​ពេល​នៃ​ការ​សិក្សា​ផ្នែក​សេដ្ឋកិច្ច​នោះ។


លោក ហ៊ុន ម៉ាណែត (រូបកណ្តាល) កាលនៅរៀននៅឯសាលា WestPoint ក្នុងរដ្ឋញ៉ូវយ៉ក (New York) សហរដ្ឋអាមេរិក។ (ប្រភព៖ Cambodia Leaks)


មេធាវីផ្នែកសិទ្ធិមនុស្ស លោក ម៉ថុន ក្លារ (Morton Sklar) ដែលកាន់សំណុំរឿងប្រឆាំងលោក ហ៊ុន ម៉ាណែត ជឿជាក់ថា លោក ហ៊ុន ម៉ាណែត ពិត​ជា​បាន​និយាយ​ភូត​កុហក​យ៉ាង​ច្បាស់​ក្រោម​សម្បថ នៅ​មុខតុលាការ ក្នុងការលាក់បាំងពីការស់នៅរបស់លោកនៅក្នុងទឹកដីសហរដ្ឋអាមេរិក។​ លោកថ្លែងប្រាប់អាស៊ីសេរីថា លោកគ្មានចម្ងល់អ្វីទេចំពោះរឿងនេះ។​



ការភូតកុហកតុលាការក្រោមសម្បថ គឺជាបទល្មើសព្រហ្មទណ្ឌនៅក្នុងសហរដ្ឋអាមេរិក ដែល​អាច​មាន​ទោស​ជាប់​ពន្ធនាគារ​រហូត​ដល់ ៥ឆ្នាំ។ ទោះជាយ៉ាងណាក្តី ការភូតកុហកនៅក្នុងសំណុំ​រឿង​រដ្ឋប្បវេណី ដូច​ជា​ករណី​ជា​មួយ​លោក មាជ សុវណ្ណារ៉ា ជា​ដើម កម្រ​ត្រូវ​បាន​គេ​កាត់​ទោស​ណាស់។

អ្នកនាំពាក្យរាជរដ្ឋាភិបាលកម្ពុជា លោក ផៃ ស៊ីផាន បានបដិសេធន៏មិនធ្វើអត្ថាធិប្បាយលំអិតទេ ជុំវិញ​ករណី​ទិញ​លក់​ផ្ទះ​របស់​កូន​លោក ហ៊ុន សែន ក្នុងទីក្រុងញូយ៉ក សហរដ្ឋអាមេរិកនោះ ដោយ​​លោកលើកឡើងថា វា​ជា​រឿង​ឯកជន​សុទ្ធសាធ ដែល​មិន​ទាក់ទង​អ្វី​ដល់​រាជរដ្ឋាភិបាលកម្ពុជា​នោះ​​​ឡើយ។ ទោះ​ជា​យ៉ាង​នេះ​ក្តី លោក​​​បាន​បដិសេធន៍​ចំពោះ​ការ​លើក​ឡើង​ដែល​ថា លុយ​ដែល​​យក​​​ទៅ​ទិញ​​ផ្ទះ​នោះ ជា​​លុយ​​ដែល​​បាន​​មក​​ពី​​អំពើ​​ពុក​​រលួយ។ លោក ផៃ ស៊ីផាន បាន​ប្រាប់​អាស៊ី​សេរី​ថា ប្រសិន​បើ​លុយ​ដែល​យក​ទៅ​ទិញ​ផ្ទះ​នោះ ជា​​លុយ​​ដែល​​កើត​​មក​​ពី​​ការ​​លាង​​លុយ​កខ្វក់​​​មែន​​នោះ ហេតុ​អ្វី​ក៏​សហរដ្ឋ​អាមេរិក មាន​ភាព​ល្ងង់​ខ្លៅ​ម៉្លេះ​នៅ​ពេល​នោះ​ ដែល​បាន​បណ្តោយ​​ឱ្យ​​​អំពើ​​ទាំង​​នោះ កើត​ឡើង​លើ​ទឹក​ដី​របស់​ខ្លួន​យ៉ាង​ដូច្នេះ៕​​